この節では、「カテゴリカル」プラットフォームで使われている統計分析詳細を説明します。
多重応答データ(複数回答データ)における[応答の等質性に対する検定]では、Rao-Scott修正が適用されます。Lavassani et al.(2009)を参照してください。
多重応答データでは、データの重複が許されています。つまり、1人の回答者から複数の応答を得ることが許されています。Pearsonのカイ2乗検定は、多重応答データに適していません。なぜなら、多重応答データは、Pearsonのカイ2乗検定の前提となっている、データの独立性を満たさないためです。また、周辺和は多重応答が許されない場合よりも大きくなるため、周辺和から計算される期待値も影響を受けます。
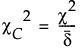
Rao-Scottのカイ2乗統計量は、次のように定義されます。

ここで
は、通常のPearsonカイ2乗検定統計量です。
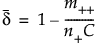
は、補正係数です。
この補正係数は、以下の統計量から計算されます。
は、多重応答の総度数です。
は、回答者(ケース)の総数です。
Cは、応答変数の水準数(クロス表における列数)です。
自由度は、(R-1)C(つまり、行数から1を引いたものに、列数を掛けたもの)です。