公開日: 04/21/2025

判別比の統計的詳細

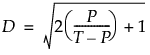
「変動性図」プラットフォームで、判別比(discrimination ratio; 識別比、弁別比)とは、測定誤差Eの分散を、測定値Mの合計分散と比べた指標です。判別比は、枝分かれしたものも含め、すべての主効果に対して計算されます。判別比(D)は、次式で計算されます。

Equation shown here

ここで

P = 該当する要素の分散(の推定値)

T = 合計分散(の推定値)

より詳細な情報が必要な場合や、質問があるときは、JMPユーザーコミュニティで答えを見つけましょう (community.jmp.com).