最急降下法の統計的詳細t-SNE法においてKullback-Leibler情報量を最小化するにあたっては、Barnes-Hut近似(van der Maaten, 2014)に基づき、最急降下法を使用しています。この方法では、次の表記法を使用しています。
X = {x1, x2, ..., xn} 元の高次元データ(n個のデータ点)
p = パープレキシティのパラメータ
T = 反復の回数
η = 学習率
tinflate = モーメンタム値が変化するまでの反復回数
a(t) = 反復tにおけるモーメンタム値。ここで、 t ≤ tinflateの場合はa(t) = 0.5、それ以外の場合はa(t) = 0.8
Y(t) = {y1, y2, ..., yn} 反復tにおける低次元空間に写像した座標
最急降下法の処理は、次のように行われます。
1. 高次元空間におけるペアの類似度pj|iを計算します。指定のパープレキシティpに基づき、σiを設定します。
2. pijを計算します。
3. 初期解Y(0) = {y1, y2, ..., yn}を設定します。これは、平均0、標準偏差10-4の正規分布から生成されます。
4. t = 1からTまで、次の処理を行います。
– 低次元マッピングにおけるペアの類似度qijを計算します。
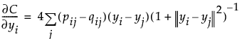
– 次のようにコスト関数を計算します。

– Barnes-Hut近似を使って、次のように勾配関数を計算します。

– 次のように解を更新します。

次の条件のいずれかが満たされた時点で、処理が停止します。
• iの勾配の最大値が、起動ウィンドウで指定した収束基準より小さい。
• 反復回数の最大値Tに達した。