「工程能力分析」プラットフォームでは、次の2種類の工程能力指数を計算できます。1種類目のPpk指数では、サブグループに左右されない方法で、データ全体を用いてs(工程の標準偏差)を推定しています。このデータ全体を用いた推定値は、特殊原因と一般原因の両方のばらつきを含んでいる可能性があります。一方、2種類目のCpk指数では、一般原因によるばらつきだけを捉えようとした推定値に基づいています。このCpk指数は、群内だけの変動、もしくは、「群内+群間」の変動を用いて、sが推定されます。群内シグマは、工程が安定したときの標準偏差を予測しています。工程が安定していない場合、群内変動から推定されたシグマの推定値は、実際のsとは著しく異なる場合があります。
全体シグマはサブグループに左右されません。全体シグマsは、次の式で推定されます。

この式では、次のような表記を使用しています。
N = データ全体における欠測値以外の観測値の個数
yi = i番目の観測値
= データ全体における欠測値以外の観測値の平均
注意: 計算に用いた工程が安定している場合、「全体シグマ」はその工程の標準偏差を推定しています。しかし、工程が安定していない場合、工程の標準偏差はいくらになるかが分からず、「全体シグマ」は疑わしいものになります。
群内変動に基づいたシグマは、次の方法のいずれかによってsを推定します。
• 範囲の平均から群内シグマを推定する方法
• 標準偏差に対する不偏推定値の平均から群内シグマを推定する方法
• 移動範囲から群内シグマを推定する方法
• プールした不偏標準偏差から群内シグマを推定する方法
起動ウィンドウでサブグループ列または一定のサブグループサイズを指定した場合、計算したい群内変動の統計量を指定できます。「工程能力」プラットフォームの起動を参照してください。サブグループ列、一定のサブグループサイズ、または履歴シグマを指定しなかった場合、JMPは、上記のうちの3つ目の手法(サイズ2のサブグループの移動範囲)を使用して群内シグマを推定します。
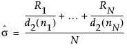
範囲の平均から推定される群内シグマは、XBar-R管理図で計算される標準偏差の推定値と同じです。

この式では、次のような表記を使用しています。
Ri = i番目のサブグループの範囲
ni = i番目のサブグループの標本サイズ
d2(ni)は、母標準偏差が1であるni個の独立した正規分布に従う確率変数の範囲の期待値
Nは、ni ≥ 2 であるサブグループの数
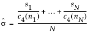
不偏標準偏差の平均から推定される群内シグマは、XBar-S管理図で計算される標準偏差の推定値と同じです。

この式では、次のような表記を使用しています。
ni = i番目のサブグループの標本サイズ
c4(ni)は、母標準偏差が1であるni個の独立した正規分布に従う確率変数の標準偏差の期待値
Nは、ni ≥ 2 であるサブグループの数
siは、i番目のサブグループの標本の標準偏差
移動範囲の平均から推定される群内シグマは、個々の測定値-移動範囲管理図(I-MR管理図)で計算される標準偏差の推定値と同じです。

この式では、次のような表記を使用しています。
= (MR2+MR3+...+MRN)/(N-1)で算出した非欠測値の移動範囲の平均(ここで、MRi = |yi - yi-1|)
d2(2)は、母標準偏差が1である2個の独立した正規分布に従う確率変数の範囲の期待値。
移動範囲の中央値から群内シグマを推定する方法では、次の式により、群内シグマを推定します。

この式では、次のような表記を使用しています。
MMR = Median(MR2, MR3, ..., MRN)で算出した非欠測値の移動範囲の中央値
(ここで、MRi = |yi - yi-1|)
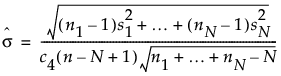
プールした不偏標準偏差から群内シグマを推定する方法

この式では、次のような表記を使用しています。
ni = i番目のサブグループの標本サイズ
n = n1 + … + nN、全体の標本サイズ
c4(·) = 母標準偏差が1である(·)個の独立した正規分布に従う確率変数の標準偏差の期待値
Nは、ni ≥ 2 であるサブグループの数
siは、i番目のサブグループの標本の標準偏差
群間変動に基づいたsの推定値は、サブグループ平均の移動範囲から推定されます。

この式では、次のような表記を使用しています。
= (MR2+MR3+...+MRN)/(N-1)で算出した非欠測値の移動範囲の平均
(ここで、MRi = |yi - yi-1|)
d2(2)は、母標準偏差が1である2個の独立した正規分布に従う確率変数の範囲の期待値。
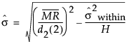
s2within = 指定された方法で推定された群内シグマ推定値。
(サブグループの標本サイズの調和平均)。
群間変動および群内変動の組み合わせに基づくσの推定値は、以下のように定義されます。
