"공간 채움 설계"의 빨간색 삼각형 메뉴에서 "FFF 최적 기준" 아래에 최적 기준이 포함되어 있습니다.
연속형 요인에 대한 MaxPro
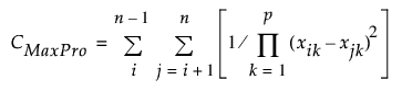
p개의 연속형 요인이 있고 n이 지정된 런 수와 같은 경우 MaxPro 기준은 군집에서 다음 기준을 최소화하는 점을 찾습니다.

MaxPro 기준은 모든 요인을 포함하는 방식으로 잠재적 설계점 간 거리의 곱을 최대화합니다. 이는 요인 투영에 적합한 공간 채움 특성을 제공한다는 목표를 지원합니다. 자세한 내용은 Joseph et al. (2015)에서 확인하십시오. MaxPro 옵션이 기본값입니다.
비연속형 요인 유형의 설계에 대한 MaxPro
비연속형 요인 유형이 있는 설계의 경우 MaxPro 기준은 Joseph et al. (2020)의 방법론을 따릅니다. p1개의 연속형 요인, p2개의 비연속형 요인, m개 수준의 이산형 요인 k가 있고 n이 지정된 런 수와 같은 경우 MaxPro 기준은 군집에서 다음 기준을 최소화하는 점을 찾습니다.

중심
이 방법은 각 군집의 중심에 설계점을 놓습니다. 설계 공간의 임의 점에서 가장 가까운 인접 설계점까지의 평균 거리가 다른 설계보다 작다는 특성이 있습니다.
참고: 항상 정해진 최적 기준을 사용하도록 환경 설정을 지정할 수 있습니다. 파일 > 환경 설정 > 플랫폼 > DOE를 선택합니다. FFF 최적 기준을 선택한 후 기본 기준을 선택합니다.
범주형 요인이 있는 경우 알고리즘은 다음과 같이 진행됩니다.
• 총 설계점 수는 범주형 요인의 총 수준 조합 수에서 균형을 이룹니다. m개의 수준 조합이 있고 k개의 설계점이 각 조합에 할당된다고 가정해 보겠습니다.
• 연속형 변수에 의해 정의된 설계 공간 내에 다수의 점이 생성됩니다. 이러한 점은 k개의 기본 군집으로 그룹화됩니다.
• 점을 포함하는 k개의 기본 군집은 각각 m개의 하위 군집으로 다시 군집화됩니다.
• 각 기본 군집 내에서 지정된 FFF 최적 기준을 사용하여 m개의 하위 군집 각각에 대해 설계점이 계산됩니다.
• k개의 각 기본 군집에 대해 m개의 수준 조합 중 하나가 m개의 각 하위 군집 설계점에 무작위로 할당됩니다. 이를 통해 총 km개의 설계점이 계산됩니다.
• k개의 각 기본 군집에서 MaxPro 기준에 따라 m개의 각 수준 조합에 대한 설계점이 선택됩니다. 범주형 요인의 수준이 동일한 점에는 MaxPro 범주형 가중치를 곱합니다. MaxPro 범주형 가중치에 대한 설명은 공간 채움 설계 옵션에서 확인하십시오. 이 과정은 k개의 모든 기본 군집에서 10회 반복하거나, 지정된 설계점을 변경해도 더 이상 개선되지 않을 때까지 계속됩니다.
자세한 내용은 Lekivetz and Jones(2018)에서 확인하십시오.
평균 군집 크기 설정 옵션을 사용하면 각 군집 또는 각 설계점을 정의하는 데 사용하기 위해 무작위로 생성되는 평균 점 개수를 지정할 수 있습니다. 이 옵션은 "공간 채움 설계"의 빨간색 삼각형 메뉴에서 "고급 옵션" 아래에 있습니다.
기본적으로 "런 수"를 200 이하로 설정하면 무작위로 생성된 총 10,000개의 점이 군집화 알고리즘의 기초로 사용됩니다. 런 수가 200을 초과하면 기본값 50이 사용됩니다. 이 값을 늘리면 요인 수가 많거나, 허용되지 않는 조합이 군집화 알고리즘에 사용되는 점의 분포를 제한하는 설계에서 특히 유용할 수 있습니다.
참고: 요인 수와 지정된 런 수 값에 따라 고급 옵션 > 평균 군집 크기 설정을 선택하여 설계점당 평균 초기점 수를 늘릴 수 있습니다.