지표 계산식포함 범위와 다양성은 덮기 배열 설계를 위해 계산되는 두 가지 지표입니다. 포함 범위 및 다양성 계산식은 조합 제약 조건이 있는지 여부에 따라 달라집니다. 다음 표기가 사용됩니다.
uCv는 한 번에 v씩 적용된 u개 항목의 조합 수입니다.
t는 설계 강도입니다.
K는 요인 수입니다.
M = KCt
i = 1, 2,..., M은 t 요인의 모든 조합 또는 투영을 정렬하는 인덱스입니다.
vik는 k번째 요인의 수준 수입니다.
ni 는 설계에서 i번째 투영에 대한 고유 t 투플의 수입니다.
pi는 i번째 투영에서 요인에 대한 vik의 곱입니다.
r는 설계의 런 수입니다.
무제약 설계포함 범위 및 다양성은 다음 식을 사용하여 구합니다.


제약 설계제약된 설계에서는 특정 t 투플이 허용되지 않습니다. 이로 인해 일부 t 투플에 대한 결측값이 발생할 수 있습니다. t 요인의 일부 조합에서 유효한 t 투플이 없을 수 있습니다. 포함 범위와 다양성은 가능한 유효 조합의 관점에서 정의해야 합니다. 따라서 제약된 설계의 계산식에는 다음과 같은 추가 표기가 필요합니다.
ai는 i번째 투영의 요인으로 인해 발생하는 유효하지 않은 t 투플의 수입니다.
m은 유효한 t 투플이 없는 투영의 수입니다.
qi는 설계에서 i번째 투영의 요인에 대한 결측값이 있는 런 수입니다.
ri = r - qi
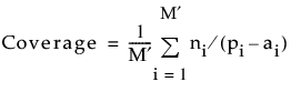
M ¢ = M - m
포함 범위 및 다양성은 다음 식을 사용하여 구합니다.


유효하지 않은 t 투플이 없고(M¢ = M) 결측값도 없는 경우(모든 i에 대해 ri = r), 제약된 설계의 포함 범위 및 다양성에 대한 정의가 무제약 설계에 대한 정의로 축소됩니다. 자세한 내용은 Morgan(2014)에서 확인하십시오.