"이상치 탐색" 플랫폼의 "K 최근접 이웃 이상치" 보고서에는 최대 K 값까지 선택한 k 값에 대한 그림이 포함되어 있습니다. 각 그림의 k 값은 세로 축 라벨에 표시됩니다. 라벨은 "이웃 k까지의 거리=<a>" 형식으로 표시되며, 여기서 "a"는 가장 가까운 a번째 이웃을 나타내는 정수입니다. 각 그림에는 i번째 행의 점에서 a번째 최근접 이웃까지의 거리가 표시됩니다. 여러 k 값에 대해 이웃과의 거리가 먼 점은 이상치일 가능성이 높습니다.
그림 위의 버튼으로 다음을 수행합니다.
선택된 행 제외
선택한 점에 해당하는 행을 추가 분석에서 제외합니다. 데이터 테이블에서 해당 행에 "제외" 행 상태가 할당됩니다. "K 최근접 이웃" 보고서를 다시 실행할지 아니면 닫을지 묻는 메시지가 표시됩니다. 분석을 다시 실행하면 새로운 최근접 이웃이 식별됩니다. 그림이 업데이트되고 제외된 점이 표시되지 않습니다.
참고: "선택된 행 제외" 옵션은 로컬 데이터 필터 내에서 또는 "자동 재계산" 옵션이 설정된 경우 지원되지 않습니다.
산점도 행렬
분석의 모든 열에 대한 산점도 행렬이 포함된 별도의 창을 엽니다. 잠재적 이상치를 "K 최근접 이웃" 그림에서 선택하고 산점도 행렬에서 확인하여 탐색할 수 있습니다.
NN 거리 저장
각 행에서 n번째 최근접 이웃까지의 거리를 데이터 테이블의 새 열로 저장합니다.
닫기
"K 최근접 이웃" 보고서를 닫습니다.
"K 최근접 이웃" 보고서에는"가장 큰 이상치" 테이블도 포함됩니다. 이 테이블에는 K번째 최근접 이웃과의 거리가 가장 큰 20개의 관측값이 포함됩니다. 테이블에 다음 열이 있습니다.
행
관측값의 행 번호입니다.
거리
지정된 행의 관측값과 K번째 최근접 이웃의 거리입니다. 테이블은 이 열을 기준으로 내림차순으로 정렬됩니다.
근접 이웃
K개의 최근접 이웃에 대한 행 번호를 나열합니다. 첫 번째 행 번호가 가장 가까운 이웃입니다. 마지막 행 번호는 K번째 최근접 이웃이며 이 관측값과 지정된 행 사이의 거리가 "거리" 열에 표시됩니다.
열<n>
해당 RMS 값의 열 이름을 지정합니다.
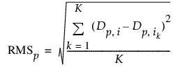
RMS<n>
각 열에 대한 k개의 최근접 이웃에서 제곱근 평균 제곱 차이입니다. 가장 큰 RMS 값이 순서대로 표시되며, 여기서 RMS1이 최대 RMS 값입니다. P번째 RMS 값은 다음과 같이 계산됩니다.

다음은 각 요소에 대한 설명입니다.
Dp = p번째 열
Dp,i = i행에 대한 p번째 열의 값
Dp,ik = i행의 k번째 최근접 이웃에 대한 p번째 열의 값
참고: 가장 큰 이상치 테이블에 표시된 "열" 및 "RMS" 열의 수는 시작 창에 지정된 열 수와 5 중 더 작은 값입니다.