의사 결정 나무 및 붓스트랩 포레스트 방법에 대한 예측 확률은 아래 설명과 같이 확률 통계량에 의해 계산됩니다.
의사 결정 나무의 범주형 반응에 대해 "분할 확률 표시" 명령은 다음 통계량을 표시합니다.
비율
각 반응 수준에 대한 노드의 관측값 비율입니다.
확률
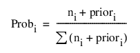
트리의 해당 노드에 대한 예측 확률입니다. 주어진 노드에서 i번째 반응 수준에 대한 확률을 계산하는 방법은 다음과 같이 정의됩니다.

여기서 총합은 모든 반응 수준을 대상으로 합니다. ni는 i번째 반응 수준에 대한 노드의 관측값 수이고, priori는 i번째 반응 수준에 대한 사전 확률이며 다음과 같이 계산됩니다.
priori = lpi+ (1-l)Pi
여기서 pi는 상위 노드의 priori, Pi는 상위 노드의 Probi, l는 현재 0.9로 설정된 가중치 요인입니다.
확률(Prob) 계산 방법은 예측 확률이 항상 0이 아님을 보장합니다.