시계열 플랫폼의 "스펙트럼 밀도" 보고서에는 두 개의 스펙트럼 밀도 그림과 "백색잡음 검정" 테이블이 포함되어 있습니다.
그림 18.15 스펙트럼 밀도 그림 및 백색잡음 검정 보고서
"백색잡음 검정" 테이블에는 다음 통계량이 포함됩니다.
Fisher 카파
계열의 값을 분산이 1인 정규 분포에서 가져온다는 귀무가설을 계열에 주기 성분이 있다는 대립가설과 대조하여 검정합니다. 카파는 주기도의 최대값 I(fi)와 평균 값의 비율입니다.
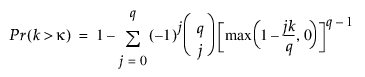
Prob > Kappa
귀무가설이 참일 때 카파보다 큰 값을 관측할 확률이며 다음 방정식으로 지정됩니다.

다음은 각 요소에 대한 설명입니다.
q = N/2(N이 짝수인 경우), q = (N - 1)/2(N이 홀수인 경우)
k = 관측된 카파 값
이 확률이 유의 수준 a보다 작으면 귀무가설이 기각됩니다.
Bartlett Kolmogorov-Smirnov
정규화된 누적 주기도를 (0, 1) 구간에서 균등 분포의 누적 분포 함수와 비교합니다. 검정 통계량은 누적 주기도와 균등 CDF의 최대 절대 차이와 같습니다. 일반적으로 값이
를 초과하면 계열이 정규 분포를 따른다는 가설을 기각합니다. A = 1.36 및 a = 1.63 값은 각각 5%와 1%의 유의 수준에 해당합니다.