BIBD의 총 관측값 수는 다음 방정식에 의해 결정됩니다.
N = ar = bk
다음은 각 요소에 대한 설명입니다.
a는 처리 수입니다.
r는 설계에서 각 처리가 나타나는 횟수입니다.
b = 블록 수
k는 각 블록의 처리 수입니다.
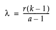
각 처리 쌍이 나타나는 블록 수는 다음과 같이 구합니다.

여기서 l는 정수여야 합니다.
이러한 조건은 BIBD가 존재하는 데 필요하지만 충분하지는 않습니다. BIBD 플랫폼은 BIBD를 생성할 수 있는 값을 제공합니다.
"블록 승수 포함"을 선택하면 원래 BIBD가 지정된 횟수만큼 복사됩니다. 추가(배수) 블록은 원래 설계의 순환 순열입니다. 복사된 설계에서 처리 위치는 원래 설계와 다릅니다.
BIBD에 대한 자세한 내용은 SAS Institute Inc. (2013)에서 확인하십시오.