이 섹션에서는 공정 능력 플랫폼에서 결측 목표값이 있는 공정을 처리하는 방법을 설명합니다. 목표값이 없는 열에 규격 상한과 하한이 모두 있거나 규격 한계가 하나만 있을 수 있습니다. 공정 능력 상자 그림을 생성하는 데 사용되는 계산은 정의된 규격 한계에 따라 다릅니다. 이 섹션에서 사용되는 표기는 표기에 대한 통계 상세 정보에 정의되어 있습니다.
j번째 열에 목표값이 지정되지 않은 경우 공정 능력 상자 그림은 변환된 관측값에 대한 다음 값을 기반으로 합니다.

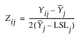
규격 하한만 지정된 경우를 가정해 보겠습니다. 비슷한 방식으로 규격 상한만 지정된 경우도 가능합니다.
j번째 열에 목표값이 지정되지 않은 경우 공정 능력 상자 그림은 변환된 관측값에 대한 다음 값을 기반으로 합니다.

참고: 열에 규격 한계가 하나뿐이고 목표값이 없는 경우 표본 평균이 규격 구간을 벗어나면 해당 열에 대한 공정 능력 상자 그림이 표시되지 않습니다.