발행일 : 03/10/2025

Cochran Q 통계량에 대한 통계 상세 정보

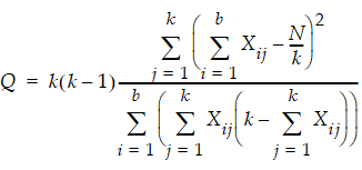
Cochran Q 검정은 다중 대응 분석 플랫폼에서 사용할 수 있습니다. Cochran Q 검정 통계량은 다음과 같이 계산됩니다.

Image shown here

다음은 각 요소에 대한 설명입니다.

k = 처리 수

b = 블록 수

Xij = k번째 처리에 대한 i번째 개체의 반응(0 또는 1)

N = 모든 개체와 처리에 대한 양의 반응의 총 합계

더 많은 정보를 원하십니까? 질문이 있습니까? JMP 사용자 커뮤니티에서 답변 받기 (community.jmp.com).