이 섹션에는 모형 기반 다변량 관리도 플랫폼의 기여도 통계량에 대한 계산이 포함되어 있습니다.
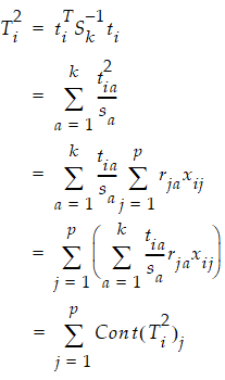
p개 변수와 k개 성분이 있는 PCA 또는 PLS 모형의 T2 기여도는 다음과 같이 계산됩니다.

다음은 각 요소에 대한 설명입니다.
ti = i번째 관측값에 대한 k개 스코어의 벡터
Sk = 과거 관측값에 대한 k개 스코어의 대각 표본 공분산 행렬. PCA 모형의 경우 Sk는 대각 고유값 행렬입니다.
sa = Sk의 a번째 대각 요소
rja = PCA 모형의 경우 a번째 고유 벡터의 j번째 요소, PLS 모형의 경우 Rk 적재 행렬의 a번째 열. Rk는 Tk=XRk가 되도록 스코어 행렬 Tk와 X 행렬을 관련시키는 데 사용되는 행렬입니다.
xij = i번째 관측값에 대한 j번째 변수의 값
참고: 마지막 합의 p 항은 변수 기여도입니다.
각 변수의 기여도는 각 스코어에 대한 기여도 합이며, 정규화된 스코어 값에 따라 가중치가 부여됩니다. 정규화된 스코어 값이 크고 변수 기여도가 큰 경우 해당 변수는
에 대한 기여도가 큰 것으로 간주됩니다.

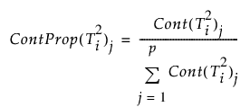
변수 j의 기여 비율은 다음과 같이 정의됩니다.

참고: JMP에서는 T2 기여 비율을 계산할 때 음의 기여도를 0으로 설정합니다. PCA 및 PLS 모형에서 X 투영 중에 변수의 교호작용으로 인해 음의 기여도가 발생할 수 있습니다. 전체 양의 기여도에서 큰 비율을 나타내는 변수 기여도를 식별하기 위해 음의 기여도를 영점화합니다.
PCA 기여도 및 음의 기여도에 대한 자세한 내용은 Kourti and MacGregor 연구 자료(1996)에서 확인하십시오. PLS 기여도에 대한 자세한 내용은 Li et al. 연구 자료(2009)에서 확인하십시오.
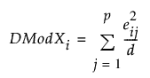
PCA 및 PLS 모형에서 DModXi에 대한 변수 j의 기여도는 다음과 같이 정의됩니다.

다음 식에 따라

변수 j의 기여 비율은 다음과 같이 정의됩니다.

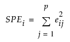
PCA 및 PLS 모형에서 SPEi에 대한 변수 j의 기여도는 다음과 같이 정의됩니다.

다음 식에 따라

변수 j의 기여 비율은 다음과 같이 정의됩니다.

스코어 기여도 계산은 T2 기여도와 동일하지만 스코어 그림에서 선택한 차원에 대해서만 계산됩니다.