비선형 플랫폼에서는 기본 잔차 제곱합 이외의 함수를 최소화하거나 최대화할 수 있습니다. 이 섹션에서는 이를 수행하는 방식을 수리적으로 보여 줍니다.
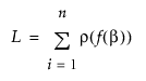
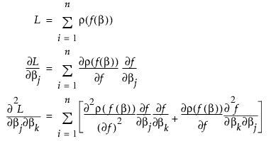
F(b)를 모형으로 가정해 보겠습니다. 그런 다음 비선형 플랫폼에서 다음과 같이 정의된 손실 함수의 합을 최소화하려고 시도합니다.

각 행에 대한 손실 함수 r(•)은 데이터 테이블에 있는 다른 변수의 함수일 수 있습니다. 여기에는 0이 아닌 1차 및 2차 도함수가 있어야 합니다. 기본 r(•) 함수인 잔차 제곱은 다음과 같습니다.

사용자 손실 함수가 있는 모형을 지정하려면 데이터 테이블에 변수를 생성하고 손실 함수를 구성합니다. 비선형 플랫폼을 시작한 후 손실 함수가 포함된 열을 손실 변수로 선택합니다.
비선형 최소화 계산식은 모형에 대해 r(•)의 처음 두 도함수를 가져오고, 다음과 같이 그래디언트 및 근사 헤시안 행렬을 구성하여 작동합니다.

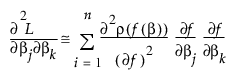
F(•)가 모수에 대해 선형인 경우 마지막 방정식의 두 번째 항은 0입니다. 그렇지 않은 경우에도 첫 번째 항에 비해 합계가 작을 수 있으며 다음을 사용합니다.

잔차 합이 작으므로 r이 잔차 제곱이면 두 번째 항이 작을 수 있습니다. 절편 항이 있는 경우 항은 0입니다. 최소 제곱의 경우 이 항은 Gauss-Newton과 Newton-Raphson을 구별하는 항입니다.
참고: 표준 오차, 신뢰 구간 및 가설 검정은 최소 제곱 추정이 수행되거나, 최대 가능도 추정이 적절한 음의 로그 가능도와 함께 사용되는 경우에만 올바릅니다.