"쾌속 유연 채움"이라는 혼합물 공간 채움 설계의 알고리즘은 지정된 설계 영역에서 다수의 랜덤 점을 생성하는 것으로 시작합니다. 그런 다음 빠른 Ward 알고리즘을 사용하여 이러한 점을 여러 군집으로 군집화합니다. 이때 군집 수는 사용자가 지정한 런 수와 같습니다.
최종 설계점은 기본 MaxPro(최대 투영) 최적 기준을 사용하거나 Centroid 기준을 선택하여 얻을 수 있습니다. 이러한 옵션은 보고서의 빨간색 삼각형 메뉴에서 "FFF 최적 기준" 아래에 있습니다.
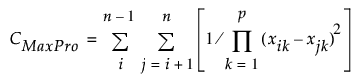
MaxPro
p개 요인이 있고 n이 지정된 런 수와 같은 경우 MaxPro 기준은 군집에서 다음 기준을 최소화하는 점을 찾습니다.

MaxPro 기준은 모든 요인을 포함하는 방식으로 잠재적 설계점 간 거리의 곱을 최대화합니다. 이는 요인 투영에 적합한 공간 채움 특성을 제공한다는 목표를 지원합니다. 자세한 내용은 Joseph et al. (2015)에서 확인하십시오. MaxPro 옵션이 기본값입니다.
Centroid
이 방법은 각 군집의 중심에 설계점을 놓습니다. 설계 공간의 임의 점에서 가장 가까운 인접 설계점까지의 평균 거리가 다른 설계보다 작다는 특성이 있습니다.
참고: 항상 정해진 최적 기준을 사용하도록 환경 설정을 지정할 수 있습니다. 파일 > 환경 설정 > 플랫폼 > DOE를 선택합니다. FFF 최적 기준을 선택한 후 기본 기준을 선택합니다.