이 섹션에서는 잠재 계층 분석 플랫폼에서 적합되는 잠재 계층 모형에 대해 설명합니다. 잠재 계층 모형에 대한 자세한 내용은 Collins와 Lanza(2010) 및 Agresti(2013) 연구 자료에서 확인하십시오.
참고: 텍스트 탐색기 플랫폼에서 사용되는 LCA 알고리즘은 문서 용어 행렬의 희소성을 활용합니다. 이러한 이유로 텍스트 탐색기 플랫폼의 LCA 결과는 잠재 계층 분석 플랫폼의 결과와 정확하게 매칭되지 않습니다.
j = 1, ..., J가 관측된 반응 열을 나타낸다고 하겠습니다. 이는 잠재 계층 분석 플랫폼 시작 창의 Y 열입니다. j 열의 수준 수를 Rj로 나타냅니다.
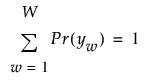
J 변수의 다차원 분할표에는 W = R1*...*RJ 셀이 포함됩니다. 이러한 각 셀은 J 변수에 대한 반응 패턴으로 정의됩니다. 따라서 각 반응 패턴은 y = y1, ..., yj 형식의 J 길이 벡터입니다. Y를 행 벡터로 간주되는 모든 반응 패턴의 W x J 배열로 정의합니다. Y에 있는 각 요소 yw의 확률은 Pr(yw)입니다. 이러한 확률의 합은 1입니다.

다음 표기를 고려하십시오.
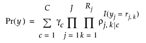
• C = 잠재 계층 모형의 군집 수
• gc = 군집 c에 소속될 확률. gc는 잠재 계층 출현율입니다. 이러한 모수의 합은 1입니다.
• rj,k = j번째 반응의 k번째 수준
• rj,k|c = c 계층의 소속을 조건으로 j 열에서 rj,k 반응을 관측할 확률. rj,k|c는 항목-반응 확률입니다. 지정된 군집 및 반응 변수 j에 대해 rj,k|c의 합은 1입니다.
• I(yj = rj,k) = yj 반응이 j번째 반응의 k번째 수준이면 1, 그렇지 않으면 0인 표시 함수
반응 yw = y1, ..., yj의 특정 벡터를 관측할 확률은 C개의 각 잠재 계층에 대해 해당 반응 벡터를 관측할 조건부 확률의 합계입니다.

이 방정식은 "잠재 계층 모형"의 빨간색 삼각형 메뉴에서 "혼합 및 군집 계산식 저장" 옵션을 선택하여 데이터 테이블에 저장할 수 있는 확률 계산식 군집 계산식의 분모입니다. 확률 계산식 군집 열의 계산식은 Pr(군집 = c | yw)을 제공하며, 이는 Pr(yw, 군집 = c)/Pr(yw)과 같습니다.
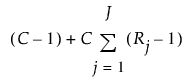
잠재 계층 모형의 g 및 r 모수는 반복 EM(Expectation-Maximization) 알고리즘을 사용하여 추정됩니다. 잠재 계층 모형의 고유 모수 수는 다음과 같이 정의됩니다.
