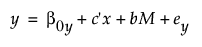
이 섹션에서는 결과(y) 및 중재(M) 변수에 대해 중재 분석에서 사용되는 선형 방정식 시스템을 설명합니다. 예측 변수(x)와 중재 변수(M), 예측 변수(x)와 결과 변수(y) 간의 관계를 다음과 같이 표현할 수 있습니다.


첫 번째 방정식은 예측 변수(x)가 중재 변수(M)에 미치는 효과를 보여 줍니다. 예측 변수(x)가 1 단위 증가할 때마다 중재 변수(M)는 a 단위씩 증가할 것으로 예상됩니다. 두 번째 방정식은 중재 변수(M)가 동일한 두 관측값의 경우 한 관측값의 예측 변수(x) 값이 클수록 결과 변수(y)에 c' 단위의 변화가 있을 것으로 예상됨을 나타냅니다. 직접 효과(c')가 양수 값을 나타내는 경우 예측 변수(x)가 증가할수록 결과 변수(y)도 증가할 가능성이 높습니다. 반면에 효과가 음수인 경우 예측 변수(x)가 증가하면 결과 변수(y)가 감소할 가능성이 높습니다.
이러한 방정식은 중재 분석 컨텍스트에서 직접 효과와 간접 효과를 측정하기 위한 기본 프레임워크를 제공합니다. 다음과 같이 방정식을 조합할 수 있습니다.



이 시나리오에서는 다음 사항이 적용됩니다.
b0y + bb0M은 새 절편입니다.
c' + ab는 새 기울기입니다. 이 새 기울기를 총 효과(c)라고 하며 직접 효과(c')와 간접 효과(ab)로 구성됩니다.
beM + ey는 새 오차 항입니다.
총 효과는 다음과 같이 정의할 수 있습니다.
총 효과(c) = 직접 효과(c') + 간접 효과(ab)
