가우시안 과정 모형에 연속형 예측 변수만 포함된 경우 가우시안 과정 플랫폼에서는 "가우시안"과 "3차"라는 두 가지 가능한 상관 구조를 구현합니다.
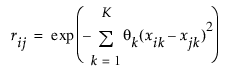
가우시안 상관 구조는 멱이 2인 곱 지수 상관 함수를 추정 모형으로 사용합니다. 이 모형은 Y가 평균 m와 공분산 행렬 s2R의 정규 분포를 따른다고 가정합니다. R 행렬의 요소는 다음과 같이 정의됩니다.

다음은 각 요소에 대한 설명입니다.
K = 연속형 예측 변수의 수
qk = k번째 예측 변수의 세타 모수
xik = 개체 i에 대한 k번째 예측 변수의 값
xjk = 개체 j에 대한 k번째 예측 변수의 값
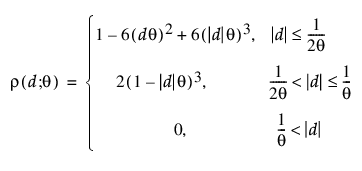
3차 상관 구조도 Y가 평균 m와 공분산 행렬 s2R의 정규 분포를 따른다고 가정합니다. R 행렬은 다음 요소로 구성됩니다.

다음은 각 요소에 대한 설명입니다.


자세한 내용은 Santer(2003)에서 확인하십시오. 3차 상관 구조에 사용되는 세타 모수는 문헌에 자주 사용되는 모수의 역수입니다. 세타가 모형에 영향을 미치지 않을 때 역수가 사용되어 rho의 값이 무한대가 아니라 0이 됩니다.