다변량 관리도 플랫폼을 사용하여 부분군으로 묶은 관측값을 분석할 수 있습니다. p개 변수를 모니터링하고 n > 1 크기의 m개 부분군을 구하는 경우를 예로 들어보겠습니다. 각 부분군에 대한 T2 통계량이 계산되어 그림에 표시됩니다. T2 통계량 및 UCL(관리 상한) 계산은 목표 통계량의 소스에 따라 달라집니다. 단계 I 차트의 한계는 관리도에 표시되는 것과 동일한 데이터를 기반으로 합니다. 단계 II 차트의 한계는 과거 데이터 집합에서 계산된 목표 통계량을 기반으로 합니다. Hotelling T2 관리도의 T2 통계량 및 관리 한계 계산에 대한 자세한 내용은 Montgomery 연구 자료(2013)에서 확인하십시오.
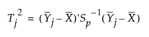
단계 I 관리도에서 j번째 부분군의 T2 통계량은 다음과 같이 정의됩니다.

다음은 각 요소에 대한 설명입니다.
= j번째 부분군에 대한 p개 측정값의 n개 열 벡터의 평균
= 부분군 평균의 평균
Sj = j번째 부분군의 n개 관측값에 대한 표본 공분산 행렬
= 부분군 내 공분산 행렬의 평균으로 계산되는 합동 공분산 행렬
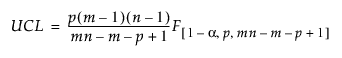
단계 I UCL(관리 상한)은 다음과 같이 정의됩니다.

다음은 각 요소에 대한 설명입니다.
p = 변수 수
n = 각 부분군의 표본 크기
m = 부분군 수
= F
분포의 (1–a)번째 분위수
단계 II 관리도에서, 목표 통계량을 계산하는 과거 데이터 집합을 X.로 정의합니다. 그러면 j번째 부분군의 T2 통계량이 다음과 같이 정의됩니다.

다음은 각 요소에 대한 설명입니다.
= j번째 부분군에 대한 p개 측정값의 n개 열 벡터의 평균
= 과거 데이터 집합에서 k번째 부분군에 대한 p개 측정값의 n개 열 벡터의 평균
= 관측값의 전체 평균
Sk = 과거 데이터 집합에서 k번째 부분군의 n개 관측값에 대한 표본 공분산 행렬
= 부분군 내 공분산 행렬의 평균으로 계산되는 합동 공분산 행렬
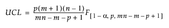
단계 II UCL(관리 상한)은 다음과 같이 정의됩니다.

다음은 각 요소에 대한 설명입니다.
p = 변수 수
n = 부분군 표본 크기
m = 과거 데이터 집합의 부분군 수
= F
분포의 (1–a)번째 분위수
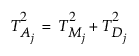
독립이며 정규 분포를 따르는 mn개의 관측값 표본이 각각 n 크기의 합리적 부분군 m개로 그룹화되는 경우, T2M을 j번째 부분군의 평균(
)과 목표값 사이의 거리로 정의합니다. T2M은 이전 섹션에 나오는 합리적 부분군의 관측값에 대한 T2과 동등합니다. 각 부분군의 내부 변동 및 목표값 기준의 전체 변동과 관련된 T2 통계량도 계산할 수 있습니다. T2 통계량의 성분은 제곱합과 상당히 비슷한 가법성을 나타냅니다. 구체적으로 말하면 m개의 각 부분군에 대해 다음 관계가 성립됩니다.

다음 모든 정의에서 Sp는 관리도 유형(단계 I 또는 단계 II 관리도)에 따라 이전 섹션에서와 같이 정의됩니다. 또한 m를
(단계 I 관리도의 경우) 및
(단계 II 관리도의 경우)로 정의합니다.
j번째 부분군의 목표값에서 떨어진 거리는 다음과 같이 정의됩니다.

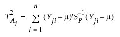
j번째 부분군의 내부 변동은 다음과 같이 정의됩니다.

여기서 Yji는 j번째 부분군에 대한 p개 측정값의 i번째 열 벡터입니다.
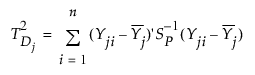
j번째 부분군의 전체 변동은 다음과 같이 정의됩니다.

여기서 Yji는 j번째 부분군에 대한 p개 측정값의 i번째 열 벡터입니다.
참고: "다변량 관리도"의 빨간색 삼각형 메뉴에서 T 제곱 저장 또는 T 제곱 계산식 저장 옵션을 선택하는 경우 각 행에 저장된 세 값은 위에 나오는 세 가지 정의의 i 값 중 하나에 해당합니다.