성능 측도에 대한 통계 상세 정보이 섹션에서는 연관성 분석 플랫폼에 사용되는 성능 측도를 정의합니다. 조건 항목 집합 X와 결과 항목 집합 Y를 사용하는 연관 규칙을 X Þ Y로 나타냅니다. Hahsler(2015)에는 지지도, 신뢰도 및 향상도를 비롯하여 연관성 분석에 사용되는 성능 측도 모음이 포함되어 있습니다.
지지도지지도는 항목 집합이 발생하는 트랜잭션의 비율입니다. 지지도를 트랜잭션에 항목 집합이 포함될 확률로 볼 수도 있습니다.
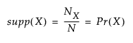
조건 항목 집합 X의 지지도 S는 다음과 같이 정의됩니다.

다음은 각 요소에 대한 설명입니다.
NX = 항목 집합 X를 포함하는 트랜잭션의 수
N = 총 트랜잭션 수
연관 규칙의 지지도는 다음과 같이 정의됩니다.

이 경우 지지도는 트랜잭션에 항목 집합 X와 Y가 모두 포함될 확률과 동일합니다.
항목 집합과 연관 규칙의 경우 모두 지지도 범위는 0% ~ 100% 사이입니다.
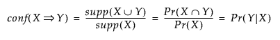
신뢰도신뢰도는 트랜잭션에 조건 항목 집합이 있을 때 결과 항목 집합을 포함하는 트랜잭션의 비율입니다. 신뢰도를 트랜잭션에 조건 항목 집합이 있을 때 해당 트랜잭션에 결과 항목 집합이 포함될 조건부 확률로 볼 수도 있습니다.

신뢰도 범위는 0% ~ 100% 사이입니다. 신뢰도가 0%인 연관 규칙의 결과 항목 집합은 조건 항목 집합이 있는 모든 트랜잭션에 나타나지 않습니다. 신뢰도가 100%이면 조건 항목 집합을 포함하는 모든 트랜잭션에 결과 항목 집합도 포함된다는 것을 나타냅니다.
참고: 연관성 분석의 신뢰도는 신뢰 구간의 개념과 관련이 없습니다.
향상도향상도는 X와 Y 간의 종속성을 측정합니다.

향상도의 분자는 X와 Y가 공동으로 발생하는 트랜잭션의 비율입니다. 분모는 X와 Y가 독립적으로 발생한다고 가정할 때 예상되는 결합 발생의 추정값입니다.
향상도 범위는 0 ~ ¥ 사이입니다. 향상도 값이 1이면 X와 Y가 트랜잭션에서 공동으로 발생하는 빈도가 단지 우연히 발생할 가능성과 같음을 나타냅니다. 향상도 값이 증가하면 X가 있을 때 Y가 예상보다 자주 발생한다는 것을 나타냅니다.
참고: X Þ Y 연관 규칙의 향상도는 Y Þ X 연관 규칙의 향상도와 같습니다.