발행일 : 03/10/2025

스펙트럼 밀도에 대한 통계 상세 정보

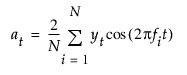
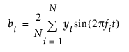
시계열 플랫폼에서 Fourier 계열의 계수에 대한 최소 제곱 추정값은 다음과 같이 계산됩니다.

Equation shown here

Equation shown here

그런 다음 fi = i/N가 결합되어 빈도 fi에서의 강도를 나타내는 주기도 I(fi) = (N/2)(ai2 + bi2)를 구성합니다.

그런 다음 주기도가 평활되고 1/(4p)로 척도가 조정되어 스펙트럼 밀도를 구성합니다.

자세한 내용은 Bloomfield(2004)에서 확인하십시오.

더 많은 정보를 원하십니까? 질문이 있습니까? JMP 사용자 커뮤니티에서 답변 받기 (community.jmp.com).