이 섹션에는 공간 채움 설계 확대를 위한 점을 선택하는 데 사용되는 알고리즘에 대한 통계 상세 정보가 포함되어 있습니다.
설계를 확대하는 데 사용되는 알고리즘은 지정된 설계 영역에서 다수의 랜덤 점을 생성하는 것으로 시작합니다. 그런 다음 빠른 Ward 알고리즘을 사용하여 이러한 점을 여러 군집으로 군집화합니다. 이때 군집 수는 사용자가 지정하는 추가 런 수와 같습니다.
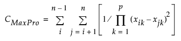
최종 설계점은 기존 런과 추가 런에 대해 MaxPro(최대 투영) 기준을 최적화하여 결정됩니다. p개 요인이 있고 n이 기존 런과 추가 런의 수와 같은 경우 MaxPro 기준은 군집에서 다음 기준을 최소화하는 점을 찾습니다.

MaxPro 기준은 모든 요인을 포함하는 방식으로 설계점 간 거리의 곱을 최대화합니다. 이는 요인 투영에 적합한 공간 채움 특성을 제공한다는 목표를 지원합니다. 자세한 내용은 Joseph et al. (2015)에서 확인하십시오.