다중 대응 분석 플랫폼의 상세 정보 보고서에는 특이값이 나열됩니다. 이러한 값을 얻기 위해 사용되는 특이값 분해는 단순 대응 분석에 사용되는 특이값 분해의 확장입니다.
단순 대응 분석이 수행되면 다음과 같은 특이값 분해의 특이값이 보고서에 나열됩니다.

다음은 각 요소에 대한 설명입니다.
• P = 개수를 총 빈도로 나눈 값의 행렬
• r, c = P의 행 및 열 합계
• D 행렬 = r 및 c 값의 대각 행렬
• L = 특이값의 열 벡터
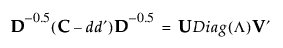
다중 대응 분석이 수행되면 특이값 분해가 다음 방정식으로 확장됩니다.

다음은 각 요소에 대한 설명입니다.
• C = Burt 표
• d = C의 열 합계에 대한 열 벡터(C가 대칭이므로 d = 행 합계)
• D = d 값의 대각 행렬
"상세 정보" 보고서에서 관성은 열 벡터 L입니다. 특이값은 관성 벡터의 제곱근입니다. 열 좌표는 다음과 같이 계산됩니다.
