발행일 : 03/10/2025

구별력 비에 대한 통계 상세 정보

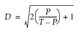
계량형 차트 플랫폼에서 구별력 비는 측정값 M의 총 분산을 측정 오차 E의 분산과 비교합니다. 내포 주효과를 포함하여 모든 주효과에 대해 구별력 비가 계산됩니다. 구별력 비 D는 다음과 같이 계산됩니다.

Equation shown here

다음은 각 요소에 대한 설명입니다.

P = 요인에 대한 추정 분산

T = 추정된 총 분산

더 많은 정보를 원하십니까? 질문이 있습니까? JMP 사용자 커뮤니티에서 답변 받기 (community.jmp.com).