이 섹션에서는 EWMA 차트 생성에 사용되는 통계량을 정의합니다. 이 중 일부 통계량은 "요약 저장" 명령을 사용하여 생성되는 데이터 테이블에도 저장됩니다.
EWMA 차트의 i번째 점은 다음과 같이 계산됩니다.
EWMAi = lXi + (1 - l)EWMAi-1
다음은 각 요소에 대한 설명입니다.
l = 람다 모수
Xi = i번째 표본 값 또는 부분군 평균
EWMAi-1 = (i-1)번째 EWMA 값
i = 1이면 EWMA0을 목표값으로 정의합니다.
참고: "빈 부분군 다음에 EWMA 다시 시작" 옵션을 선택한 경우 빈 부분군 다음에 나오는 EWMAi-1 값은 목표값입니다. "빈 부분군 다음에 EWMA 다시 시작" 옵션을 선택하지 않은 경우 빈 부분군 다음에 나오는 EWMAi-1 값은 비어 있지 않은 가장 최근 부분군에 대한 EWMA 값입니다.
EWMA 차트의 관리 한계 계산은 "상수 한계" 옵션 설정에 의해 결정됩니다.
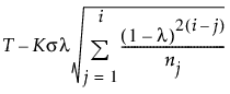
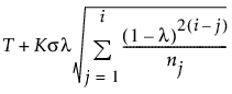
"상수 한계" 옵션을 선택하지 않은 경우 부분군 크기가 같지 않으면 EWMA 관리 한계가 다음과 같이 계산됩니다.
LCL = 
UCL = 
다음은 각 요소에 대한 설명입니다.
T = 목표값
K = 시그마 승수(기본값 3)
s = 시그마 값
i = 표본 또는 부분군 수
ni = 부분군 i의 크기
"상수 한계" 옵션을 선택하지 않은 경우 부분군 크기가 같으면 EWMA 관리 한계 계산식이 다음과 같이 단순화됩니다.
LCL = 
UCL = 
다음은 각 요소에 대한 설명입니다.
T = 목표값
K = 시그마 승수(기본값 3)
s = 시그마 값
i = 표본 또는 부분군 수
n = 각 부분군의 크기(부분군이 지정되지 않은 경우 1)
"상수 한계" 옵션을 선택한 경우 EWMA 관리 한계가 다음과 같이 계산됩니다.
LCL = 
UCL = 
다음은 각 요소에 대한 설명입니다.
T = 목표값
K = 시그마 승수(기본값 3)
s = 시그마 값
n = 부분군 크기(부분군이 지정되지 않은 경우 1)
지수 가중 이동 평균 차트의 생성에 대한 자세한 내용은 Montgomery 연구 자료(2013)에서 확인하십시오.