나이브 베이즈 알고리즘에 대한 통계 상세 정보나이브 베이즈 방법은 피처 값이 주어졌을 때 관측값을 소속 확률이 가장 높은 클래스로 분류합니다. 이 방법에서는 피처가 각 클래스 내에서 조건부로 독립적이라고 가정합니다.
가능한 분류를 C1, …, CK로 나타냅니다. 피처 또는 예측 변수를 X1, X2, …, Xp로 나타냅니다.
예측 변수 값이 x1, x2, …, xp인 관측값이 Ck 클래스에 속할 조건부 확률은 다음과 같이 계산됩니다.
,
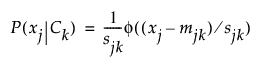
여기서 R은 정규화 상수입니다. 위의 계산식에서 Xj = xj인 관측값이 Ck, P(xj|Ck) 클래스에 속할 조건부 확률은 다음과 같이 결정됩니다.
• Xj가 범주형인 경우

• Xj가 연속형인 경우

여기서 f는 표준 정규 밀도 함수이고, m과 s는 각각 Ck 클래스 내 예측 변수 값의 평균과 표준편차입니다.
관측값이 Ck, P(Ck) 클래스에 속할 무조건부 확률은 다음과 같이 계산됩니다.

관측값은 조건부 확률이 가장 큰 클래스로 분류됩니다.
참고: P(Ck) 계산식에서 0.5는 사전 편향 요인입니다. 이 값이 기본값입니다. 사전 기본 요인을 변경하려면 파일 > 환경 설정 > 플랫폼 > 나이브 베이즈로 이동한 후 "사전 편향" 체크박스를 선택하고 값을 변경하십시오.