이 섹션에서는 공정 능력 플랫폼에 사용되는 분포에 대한 밀도 함수 f를 제공합니다. Johnson 및 SHASH 분포를 제외한 모든 분포에 대한 기대값과 분산도 제공합니다.
,
,
, 
E(x) = m
Var(x) = s2
,
,
, 
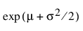
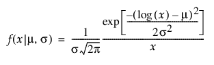
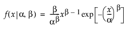
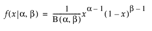
E(x) = 
Var(x) = 
여기서 B(·)는 베타 함수입니다.
,
, 
E(x) = s
Var(x) = s2
,
,
, 
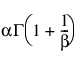
E(x) = as
Var(x) = as2
여기서 G(·)는 감마 함수입니다.
Johnson Su
,
,
, 
Johnson Sb
,
, 
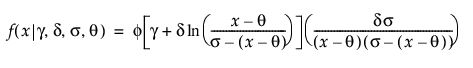
Johnson Sl
,
, 
여기서 f(·)는 표준 정규 확률 밀도 함수입니다.
,
,
, 
E(x) =
Var(x) =
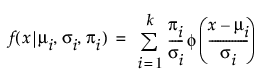
2 정규 혼합 및 3 정규 혼합 분포 옵션은 다음 파라미터화를 공유합니다.

E(x) =
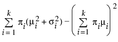
Var(x) =
여기서 mi, si 및 pi는 각각 i번째 그룹의 평균, 표준편차 및 비율이며, f(·)는 표준 정규 확률 밀도 함수입니다. 2 정규 혼합의 경우 k는 2입니다. 3 정규 분포 혼합의 경우 k는 3입니다. 혼합물 내 각 그룹에 대해 평균, 표준편차 및 전체 대비 비율이 개별적으로 추정됩니다.
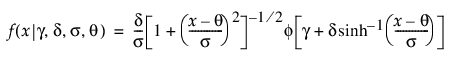
,
, 0 < d, 0 < s
다음은 각 요소에 대한 설명입니다.
f(·) = 표준 정규 pdf

참고: g = 0이고 d = 1인 경우 SHASH 분포는 위치가 q이고 척도가 s인 정규 분포와 동등합니다.
,
, 
E(x) =
Var(x) =
여기서 G(·)는 감마 함수입니다.