품질 및 공정 방법 > 파레토도 > 파레토도 플랫폼에 대한 통계 상세 정보
발행일 : 03/10/2025

파레토도 플랫폼에 대한 통계 상세 정보

파레토도 플랫폼에서 계산된 가능도비 카이제곱 검정 통계량에서는 다음과 같은 표기를 사용합니다.

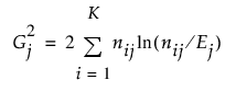
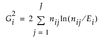
nij = 그룹 j에서 원인 i의 개수

Ej = 그룹 j에 대한 기대 개수. 이 값은 원인 전체에서 각 그룹의 평균 개수입니다.

Ei = 원인 i에 대한 기대 개수. 이 값은 그룹 전체에서 각 원인의 평균 개수입니다.

그룹 내의 가능도비 카이제곱 검정 통계량

Equation shown here

그룹 간의 가능도비 카이제곱 검정 통계량

Equation shown here

더 많은 정보를 원하십니까? 질문이 있습니까? JMP 사용자 커뮤니티에서 답변 받기 (community.jmp.com).