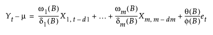
M개의 입력이 있는 일반적인 전이 함수 모형은 다음과 같이 나타낼 수 있습니다.

다음은 각 요소에 대한 설명입니다.
Yt = 출력 계열
X1 ~ Xm = m개의 입력 계열
et = 잡음 계열
X1, t–d1 = X1 계열이 d1 단계 시차의 t에 의해 인덱싱됨
m = 모형의 평균 수준
및 q(B) = ARIMA 모형의 자기회귀 다항식 및 이동 평균 다항식
wk(B) 및 dk(B) = 개별 전이 함수의 분자 및 분모 요인(다항식). 여기서, k는 1 ~ m개의 개별 입력에 대한 인덱스를 나타냅니다.
위 모형의 각 다항식은 계절 ARIMA에서와 같이 두 부분(비계절과 계절 또는 두 성분의 곱)을 포함할 수 있습니다. 모형을 지정할 때 모형에 포함하지 않을 부분에는 기본값 0을 그대로 둡니다.