예측 및 전문 모델링 > 가우시안 과정 > 가우시안 과정 플랫폼에 대한 통계 상세 정보 > 분산 계산식 파라미터화에 대한 통계 상세 정보
발행일 : 03/10/2025

분산 계산식 파라미터화에 대한 통계 상세 정보

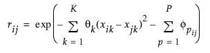
가우시안 과정 플랫폼의 저장된 분산 계산식은 모형에 범주형 예측 변수가 포함된 경우를 제외하고 이전에 정의된 R 파라미터화를 사용합니다. 가우시안 과정 모형에 범주형 예측 변수가 포함된 경우에는 저장된 분산 계산식에 다음과 같은 R 파라미터화가 사용됩니다.

Equation shown here

여기서 Equation shown here 및 다른 모든 변수는 이전에 정의된 대로입니다.

더 많은 정보를 원하십니까? 질문이 있습니까? JMP 사용자 커뮤니티에서 답변 받기 (community.jmp.com).