공정 능력 플랫폼은 두 가지 유형의 공정 능력 지수를 제공합니다. Ppk 지수는 부분군에 의존하지 않는 방식으로 모든 데이터를 사용하는 공정 표준편차, 즉 s의 추정값을 기반으로 합니다. 이 전체 추정값은 우연 원인 변동뿐만 아니라 특수 원인 변동을 반영할 수 있습니다. Cpk 지수는 우연 원인 변동만 포착하는 추정값을 기반으로 합니다. Cpk 지수는 s에 대한 부분군의 군내 추정값 또는 군간-군내 추정값을 사용하여 생성됩니다. 이러한 방식으로 실제 공정 표준편차를 반영합니다. 공정이 안정적이지 않으면 s의 여러 추정값이 크게 다를 수 있습니다.
전체 표준편차는 부분군에 의존하지 않습니다. s의 전체 추정값은 다음과 같이 계산됩니다.

이 계산식에서는 다음과 같은 표기를 사용합니다.
N = 전체 데이터 집합의 비결측값 수
yi = i번째 관측값
= 전체 데이터 집합의 비결측값 평균
주의: 공정이 안정적인 경우 전체 표준편차는 공정 표준편차를 추정합니다. 공정이 불안정한 경우에는 공정 표준편차를 알 수 없으므로 s의 전체 추정값이 불확실합니다.
부분군 내 변동을 기반으로 하는 s 추정값은 다음 방법 중 하나로 생성할 수 있습니다.
• 범위 평균으로 추정된 군내 표준편차
• 비편향 표준편차의 평균으로 추정된 군내 표준편차
• 이동 범위로 추정된 군내 표준편차
• 비편향 합동 표준편차로 추정된 군내 표준편차
시작 창에서 부분군 ID 열 또는 일정한 부분군 크기를 지정하는 경우 원하는 부분군 내 변동 통계량을 지정할 수 있습니다. 자세한 내용은 공정 능력 플랫폼 시작에서 확인하십시오. 부분군 ID 열, 일정한 부분군 크기 또는 과거 시그마를 지정하지 않으면 JMP에서 세 번째 방법(크기가 2인 부분군의 이동 범위)을 사용하여 군내 표준편차를 추정합니다.
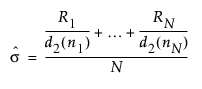
범위 평균으로 추정된 군내 표준편차는 XBar-R 차트의 표준편차 추정값과 동일합니다.

이 계산식에서는 다음과 같은 표기를 사용합니다.
Ri = i번째 부분군의 범위
ni = i번째 부분군의 표본 크기
d2(ni) = 단위 표준편차를 갖는 ni개 독립 정규 분포 변수의 범위 기대값
N = 부분군 수(ni ≥ 2)
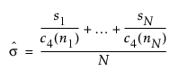
비편향 표준편차의 평균으로 추정된 군내 표준편차는 XBar-S 차트의 표준편차 추정값과 동일합니다.

이 계산식에서는 다음과 같은 표기를 사용합니다.
ni = i번째 부분군의 표본 크기
c4(ni) = 단위 표준편차를 갖는 ni개 독립 정규 분포 변수의 표준편차 기대값
N = 부분군 수(ni ≥ 2)
si = i번째 부분군의 표본 표준편차
평균 이동 범위로 추정된 군내 표준편차는 개별 측정값 및 이동 범위 차트의 표준편차 추정값과 동일합니다.

이 계산식에서는 다음과 같은 표기를 사용합니다.
= (MR2+MR3+...+MRN)/(N-1)로 계산된 비결측 이동 범위의 평균(MRi = |yi - yi-1|)
d2(2) = 단위 표준편차를 갖는 두 독립 정규 분포 변수의 범위 기대값
이동 범위 중앙값으로 추정된 군내 표준편차는 다음과 같습니다.

이 계산식에서는 다음과 같은 표기를 사용합니다.
MMR = Median(MR2, MR3,..., MRN)으로 계산된 비결측 이동 범위의 중앙값(MRi = |yi - yi-1|)
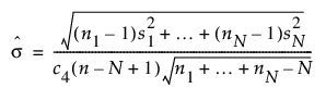
비편향 합동 표준편차로 추정된 군내 표준편차는 다음과 같습니다.

이 계산식에서는 다음과 같은 표기를 사용합니다.
ni = i번째 부분군의 표본 크기
n = n1 + ¼ + nN, 총 표본 크기
c4(·) = 단위 표준편차를 갖는 (·)개 독립 정규 분포 변수의 표준편차 기대값
N = 부분군 수(ni ≥ 2)
si = i번째 부분군의 표본 표준편차
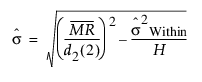
부분군 간 변동을 기반으로 하는 s 추정값은 부분군 평균의 이동 범위로 추정됩니다.

이 계산식에서는 다음과 같은 표기를 사용합니다.
= (MR2+MR3+...+MRN)/(N-1)로 계산된 비결측 이동 범위의 평균(MRi = |yi - yi-1|)
d2(2) = 단위 표준편차를 갖는 두 독립 정규 분포 변수의 범위 기대값
s2within = 지정된 군내 표준편차 추정값
, 부분군 표본 크기의 조화 평균
그룹의 결합된 군간-군내 변동을 기반으로 하는 표준편차 추정값은 다음과 같이 정의됩니다.
