이 섹션에서는 레거시 가중 이동 평균 차트에서 관리 한계를 계산하는 방법을 설명합니다.
각 부분군 i에 대한 UWMA 차트의 관리 한계는 다음과 같이 계산됩니다.
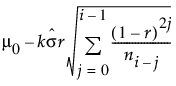
LCLi = 
UCLi = 
다음은 각 요소에 대한 설명입니다.
w = 범위 모수(이동 평균의 항 수)
ni = i번째 부분군의 표본 크기
k = 표준편차의 수
= 부분군 평균의 가중 평균
= 추정된 공정 표준편차
EWMA 차트의 관리 한계는 다음과 같이 계산됩니다.
LCL = 
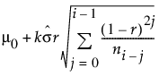
UCL = 
다음은 각 요소에 대한 설명입니다.
r = EWMA 가중치 모수(0 < r £ 1)
xij = i번째 부분군의 j번째 측정값(j = 1, 2, 3,..., ni)
ni = i번째 부분군의 표본 크기
k = 표준편차의 수
= 부분군 평균의 가중 평균
= 추정된 공정 표준편차