비선형 플랫폼을 사용하는 경우 다항식을 중심화하는 것이 좋습니다.
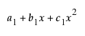
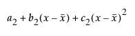
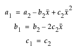
모수에 대해 선형인 완전 다항식 항이 있는 경우 항상 다항식을 중심화하는 것이 좋습니다. 이렇게 하면 최적화를 위한 수치 표면의 조건이 개선됩니다. 다음과 같은 표현식을 예로 들어보겠습니다.

다음과 같이 변환해야 합니다.

두 모형은 모수 변환을 제외하고는 동일하지만 모형이 비선형이면 두 번째 모형을 훨씬 쉽게 적합시킬 수 있습니다.
모수 변환은 쉽게 풀이할 수 있습니다.

반복 수가 계속 최대값까지 진행되면 최대 반복 수를 늘리거나 수렴 기준 중 하나를 완화합니다.
모든 문제에 대해 잘 맞는 총괄 최적화 방법은 실제로 없습니다. JMP에는 비선형 플랫폼에서 해를 구할 수 있는 문제의 범위를 확대할 수 있도록 Newton, QuasiNewton BFGS, QuasiNewton SR1 및 수치 미분만 등의 옵션이 있습니다.
기본 설정이 특정 문제에 대한 해로 수렴할 수 없는 경우 이 설정의 다양한 조합을 사용하여 수렴 승산을 높입니다.
일부 모형은 모수의 시작 값에 매우 민감합니다. 새 시작 값으로 작업하는 것이 효과적일 때가 많습니다. 시작 값을 편집하고 재설정을 클릭하여 결과를 확인합니다. 그림도 유용합니다. 슬라이더를 사용하여 더 잘 적합되도록 곡선을 시각적으로 수정합니다. 모수 프로파일러가 도움을 줄 수 있지만 데이터 집합이 작은 경우 외에는 너무 느릴 수 있습니다.