"시계열 기본 진단" 차트에 표시되는 정보는 시계열 보고서의 빨간색 삼각형 메뉴 옵션에 따라 다릅니다. 진단 차트에서 정보를 표시하거나 숨기는 빨간색 삼각형 메뉴 옵션은 "자기상관", "편자기상관", "변동도" 및 "AR 계수"입니다. 기본적으로 "자기상관" 및 "편자기상관"이 표시됩니다.
"자기상관" 옵션은 "시계열 기본 진단" 차트에서 다음 열을 표시하거나 숨깁니다.
시차
점 사이의 주기 수입니다.
참고: 시차 수는 기본적으로 0에서 시작합니다. 시차 1로 시작하는 상관을 계산하려면 그래프를 생성하기 전에 JMP 환경 설정을 수정합니다. 파일 > 환경 설정 > 플랫폼 > 시계열을 선택한 후 ACF 및 PACF에 시차 0 표시 안 함을 선택하십시오.
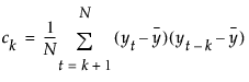
자기상관
K번째 시차에 대한 자기상관이며 다음과 같이 계산됩니다.
여기서, 
및
는 시계열에서 비결측 점 N개의 평균입니다. 정의에 따라 1차 자기상관(시차 0)의 길이는 항상 1입니다.
막대는 자기상관을 그래픽으로 나타냅니다. 파란색 곡선은 다음과 같이 계산되는 큰 시차 표준 오차의 두 배(± 2 표준 오차)를 나타냅니다.

Ljung-Box Q
자기상관 그룹이 0과 유의하게 다른지 여부를 검정하거나 모형의 잔차를 백색잡음과 구별할 수 있는지 검정하는 데 사용됩니다. Q는 검정 통계량입니다.
p 값
Ljung-Box 검정의 p 값입니다.
"편자기상관" 옵션은 "시계열 기본 진단" 차트에서 다음 열을 표시하거나 숨깁니다.
시차
점 사이의 주기 수입니다.
편자기상관
K번째 시차에 대한 편자기상관입니다.
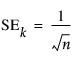
막대는 편자기상관을 그래픽으로 나타냅니다. 파란색 선은 근사 95% 예측 한계에 대한 ± 2 표준 오차를 나타내며, 여기서 표준 오차는 다음과 같이 계산됩니다.
, 모든 k에 대해
"변동도" 옵션은 "시계열 기본 진단" 차트에서 다음 열을 표시하거나 숨깁니다.
시차
점 사이의 주기 수입니다.
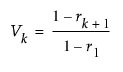
변동도
변동도는 k 시차가 있는 점의 차이 분산을 측정하여 1 시차가 있는 점의 차이 분산과 비교합니다. 변동도는 다음과 같이 자기상관에서 계산됩니다.

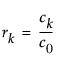
여기서 rk는 시차 k에서의 자기상관입니다.
"AR 계수" 옵션은 "시계열 기본 진단" 차트에서 다음 열을 표시하거나 숨깁니다.
시차
점 사이의 주기 수입니다.
AR 계수
계수는 고차의 순수 자기회귀 모형을 적합시켜 얻을 수 있는 것과 비슷합니다.