시계열 그래프에는 각 시계열 대 시간 ID가 표시됩니다. 시간 ID를 지정하지 않으면 행 번호가 대신 사용됩니다. 홀드백 집합이 지정된 경우 훈련 데이터와 홀드백 데이터를 구분하는 세로 참조선이 그래프에 있습니다.
이 플랫폼에서는 ADF(Augmented Dickey-Fuller) 검정을 사용하여 몇 가지 안정성 검정도 수행합니다. 다음 검정 및 요약 통계량이 시계열 그래프 옆에 표시됩니다.
Box-Cox에 대한 람다
(Box-Cox 변환을 지정한 경우에만 표시됨) Box-Cox 변환에 사용되는 람다 값입니다.
평균
표본 평균입니다.
표준편차
표본 표준편차입니다.
N
계열 길이입니다.
0 평균 ADF
0 평균을 사용하여 확률 보행과 대조하는 검정으로, 다음과 같이 정의됩니다.

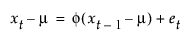
단일 평균 ADF
0이 아닌 평균을 사용하여 확률 보행과 대조하는 검정으로, 다음과 같이 정의됩니다.

추세 ADF
0이 아닌 평균과 선형 추세를 사용하여 확률 보행과 대조하는 검정으로, 다음과 같이 정의됩니다.
