For the latest version of JMP Help, visit JMP.com/help.

Publication date: 07/30/2020

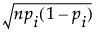
Standard Error Bars

Standard error bars are calculated using the standard error where pi=ni / n.

Want more information? Have questions? Get answers in the JMP User Community (community.jmp.com).