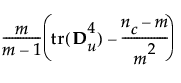
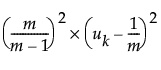
在 MCA 中从 m 个分类变量构造的 Burt 表的常见主惯量为来自
的特征值 uk。这些惯量对于拟合好坏的判定过于悲观。Benzécri (1979) 提出了以下惯量调整方法;Greenacre (1984, p. 145) 也对该调整方法进行过描述。
对于 
针对所有大于 1/m 的惯量,该调整计算调整惯量占调整惯量之和的百分比。
Greenacre (1984, p. 156) 认为 Benzécri 调整过高估计了拟合的质量。Greenacre 建议计算调整惯量与以下值的百分比:

对于大于 1/m 的所有惯量,其中 tr(D4u ) 是惯量平方和,nc 是 m 个变量上的总类别数。