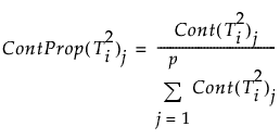
计算贡献比例时,JMP 会清除负贡献。
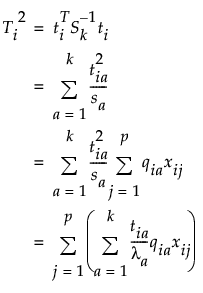
具有 p 个变量和 k 个成分的 PCA 或 PLS 模型的 T2 贡献计算如下:

其中
ti = 第 i 个观测的 k 得分的向量
Sk = 历史观测的 k 得分的对角线样本协方差矩阵对于 PCA 模型,
是对角线特征值矩阵。
sa 是 Sk 的第 a 个成分
rja 对于 PCA 模型是第 a 个特征值的第 j 个成分,对于 PLS 模型则是 Rk 矩阵的第 a 列。Rk 是用于将得分矩阵 Tk 关联到 X 矩阵的矩阵,使得 Tk=XRk。
xij 是第 i 个观测的第 j 个变量的值。
请注意,由于

变量 j 的贡献比例定义为:

有关 PCA 贡献的详细信息,请参见 Kourti and MacGregor (1996)。有关 PLS 贡献的详细信息,请参见 Li et al.(2009)。
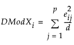
对于 PCA 和 PLS 模型,变量 j 对 DModXi 的贡献定义如下:

请注意,由于

变量 j 的贡献比例定义为:

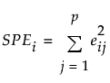
对于 PCA 和 PLS 模型,变量 j 对 SPEi 的贡献定义如下:

请注意,由于

变量 j 的贡献比例定义为:

得分贡献计算与 T2 贡献的计算相同,以下几点例外:
• 对于 PCA 模型,仅使用与 Qk 矩阵中使用的得分维数对应的列
• 对于 PLS 模型,仅使用与 Rk 矩阵中使用的得分维数对应的列。