发布日期: 04/13/2021

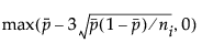
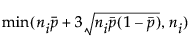
P 图和 NP 图的控制限

下控制限 (LCL) 和上控制限 (UCL) 分别计算如下:

P 图下控制限 = Equation shown here

P 图上控制限 = Equation shown here

NP 图下控制限 = Equation shown here

NP 图上控制限 = Equation shown here

其中:

Equation shown here 是从各个子组中抽取的不合格项的平均比例

Equation shown here

ni 是第 i 个子组中的项数

需要更多信息?有问题?从 JMP 用户社区得到解答 (community.jmp.com).