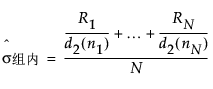
使用极差的平均值估计的三因子控制图的组内 sigma 估计值可用于“基于均值的单值”、“基于均值的移动极差”和 R 图。

该公式使用以下符号:
Ri = 第 i 个子组的极差
ni = 第 i 个子组的样本大小
d2(ni) = 服从单位标准差正态分布的 ni 个自变量的极差期望值
N = ni ≥ 2 的子组数
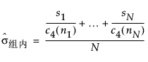
使用无偏标准差估计的三因子控制图的组内 sigma 估计值可用于“基于均值的单值”、“基于均值的移动极差”和 S 图。

该公式使用以下符号:
si = 第 i 个子组的样本标准差
ni = 第 i 个子组的样本大小
c4(ni) = 服从单位标准差正态分布的 ni 个自变量的标准差期望值
N = ni ≥ 2 的子组数
使用子组均值的移动极差估计的三因子控制图的组间 sigma 估计值。

该公式使用以下符号:
= 非缺失移动极差的均值,计算方式为 (MR2+MR3+...+MRN)/(N-1),其中 MRi = |yi - yi-1|。
d2(2) = 服从单位标准差正态分布的两个自变量的极差期望值。
,子组样本大小的调和均值。
注意:若组间 Sigma 估计为负值,则它设置为 0。
使用组内 sigma 与组间 sigma 估计值的组合来估计三因子控制图的组间和组内 sigma 估计值。
