JMP 会为均值图和 R 图生成控制限,如下所示:
均值图的下控制限 = 
均值图的上控制限 = 
R 图的下控制限 =
R 图的上控制限 =
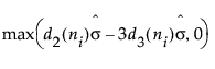
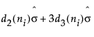
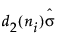
R 图的中心线:默认情况下,第 i 个子组的中心线(其中 3 是 sigma 乘数),表明为 Ri 的期望值的估计值。该值计算如下:
,其中
是 σ 的估计值。
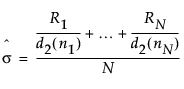
均值图和 R 图的标准差估计如下:

其中:
= 子组均值的加权平均值
σ = 过程标准差
ni = 第 i 个子组的样本大小
d2(n) 是服从单位标准差正态分布的 n 个自变量的极差的期望值
d3(n) 是服从单位标准差的正态总体中的 n 个独立观测的极差的标准差
Ri 是第 i 个子组的极差
N 是 ni ≥ 2 的子组数。