基本分析
>
二元分析
>
“二元”平台的统计详细信息
> “相关性”报表
发布日期: 04/13/2021
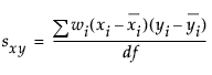
“相关性”报表
Pearson 相关系数表示为
r
,计算如下:
其中
其中,
w
i
是第
i
个观测的权重值(若指定了权重列),或为 1(若未指定权重列)。
需要更多信息?有问题?从 JMP 用户社区得到解答
(community.jmp.com)
.
本网站在启用 JavaScript 的情况下效果最佳。