实验设计指南
>
技术细节
>
别名矩阵
> 具有“困难”或“极难”因子更改的设计
发布日期: 04/13/2021
具有“困难”或“极难”因子更改的设计
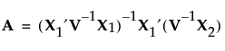
对于具有难以更改的因子或极难更改的因子的设计,按以下方式给定别名矩阵:
其中
V
是响应的区组对角协方差矩阵。
需要更多信息?有问题?从 JMP 用户社区得到解答
(community.jmp.com)
.
本网站在启用 JavaScript 的情况下效果最佳。