使用“边缘最大似然估计”(MMLE) 拟合 IRT 模型。MMLE 是“联合最大似然估计”(JLE) 的备选方法。MMLE 将对象视为随机效应。项目和能力作为条件概率彼此相关,具体如下:

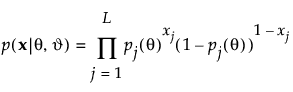
其中,p(x|θ, ϑ) 是在给定对象能力 θ 和项目参数的向量 ϑ 时,响应向量x 的概率。项目参数的数目取决于使用的模型(1PL、2PL 或 3PL)。
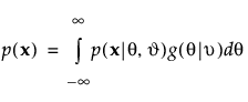
MMLE 使用高斯求积分方法对对象效应求积分,以此获取项目参数估计值。响应向量 x 的概率如下所示:

其中,g(θ|ν) 是对象分布,ν 是总体位置和尺度参数的向量。在 JMP 中,均值为 0、标准差为 1 的正态分布用于 g(θ|ν)。
注意:针对测验问题的缺失值被视为错误响应。不为答案全部正确或全部不正确的个人计算能力得分。这些测试对象的响应模式包括在模型估计中。
用于拟合 IRT 模型的 MMLE 过程可与在两个阶段中拟合随机效应模型作比较。能力参数被视为方差为 1 的随机效应。在第一步中,使用高斯求积分对这些随机效应求积分。项目参数被视为使用边缘似然(已对能力参数求积分)的 ML 估计的固定效应。能力参数实际上是使用完全未积分(联合)似然估计的最佳线性无偏预测,且估计时项目参数已知,并且保持在第一阶段中获取的值。
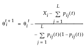
对于 L 个项目,有 2L 个响应模式。每个模式的能力水平可以通过计算在该响应模式下出现最高概率的能力水平,可通过应用以下公式直到 θ 进行计算。

其中:
θ 将获取响应模式的似然最大化
t 是迭代次数
L 是项目数
Xi 是观测的得分
pij 是在特定的项目参数下,第 i 个人答对第 i 个项目的概率。