实验设计指南 > 前瞻样本大小与功效 > “k 个样本均值”计算器
发布日期: 04/13/2021

“k 个样本均值”计算器

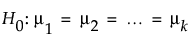
使用“k 个样本均值”计算器确定有关 2 到 10 个均值的假设检验的适当样本大小。样本大小与功效与以下假设检验相关联:

Equation shown here

与双侧备择假设:

Ha:并非所有均值都相等

其中:

Equation shown here

需要更多信息?有问题?从 JMP 用户社区得到解答 (community.jmp.com).