发布日期: 04/13/2021

Levey-Jennings 图

Levey-Jennings 图显示过程均值,以及基于长期 sigma 的控制限。控制限位于距离中心线 3 s 远的位置。

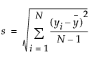
Levey-Jennings 图的标准差 s 计算方法与“分布”平台中的标准差计算方法相同。

Equation shown here

需要更多信息?有问题?从 JMP 用户社区得到解答 (community.jmp.com).