若高斯过程模型仅包含连续预测变量,则“高斯过程”平台执行两个可能的相关性结构:“高斯”和“三次”相关。
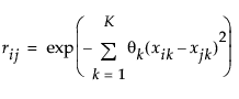
高斯相关性结构使用幂为 2 的指数积相关性函数作为估计模型。该模型假设:Y 服从均值为 μ 且协方差矩阵为 σ2R 的正态分布。R 矩阵的元素定义如下:

其中
K = 连续预测变量的数目
θk = 第 k 个预测变量的 theta 参数
xik = 对象 i 的第 k 个预测变量的值
xjk = 对象 j 的第 k 个预测变量的值
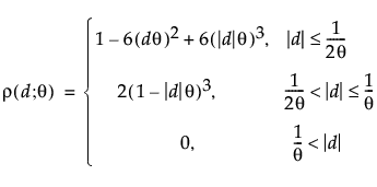
“三次”相关性结构也假定 Y 服从均值为 μ 且协方差矩阵为 σ2R 的正态分布。R 矩阵包含以下元素:

其中


请参见 Santer (2003)。“三次”相关性结构中使用的 theta 参数是文献中经常使用的参数的倒数。使用倒数是为了在 theta 对模型没有影响时,让 rho 具有零值而非无穷大。