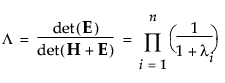
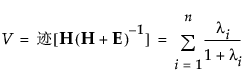
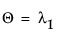
在下文中,E 是残差叉积矩阵,H 是模型叉积矩阵。E 的对角线元素是每个变量的残差平方和。H 的对角线元素是每个变量的模型平方和。在判别分析文献中,E 通常称为 W,其中 W 表示组内。
多元结果表中的检验统计量是
的特征值 λ 的函数。以下列表说明了每个检验统计量的计算。
注意:在指定响应设计后,将初始 E 和 H 矩阵用
自左乘,然后用 M 自右乘。
• Wilks Lambda

• Pillai 迹

• Hotelling-Lawley 迹

• Roy 最大根
,
的最大特征值。
E 和 H 定义如下:


其中 b 是模型系数的估计向量,A- 表示矩阵 A 的广义逆。
整体模型 L 是与以下单位矩阵拼接而成的零列(用于截距):该矩阵的行数和列数与模型中的参数数目相等。效应的 L 矩阵是整体模型 L 矩阵的行的子集。