实验设计指南 > 前瞻样本大小与功效 > “单样本比例”计算器
发布日期: 04/13/2021

“单样本比例”计算器

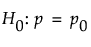
使用“单样本比例”计算器计算有关一个比例的假设检验的样本大小。样本大小与功效与以下假设检验相关联:

Equation shown here

与双侧备择假设:

Equation shown here

或与单侧备择假设:

Equation shown here

其中 p 是总体比例,p0 是原假设比例。

单比例计算器还提供实际检验大小。这是指定假设下的实际 I 类误差率。因为二项分布是离散的,对于接近 0 或 1 的小样本或比例,实际检验大小可能与指定的 Alpha 水平有很大不同。为了确保 alpha 水平等于或大于指定的水平,请使用 Clopper-Pearson 精确区间估计方法。

需要更多信息?有问题?从 JMP 用户社区得到解答 (community.jmp.com).