本节为“过程能力”平台中使用的分布提供密度函数 f,同时还为除 Johnson 和 SHASH 分布之外的所有分布提供期望值和方差。
,
,
, 
E(X) = μ
Var(X) = σ2
,
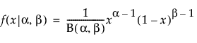
,
, 
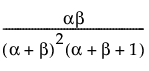
E(X) = 
Var(X) =
其中,B(·) 是 Beta 函数。
,
, 
E(X) = σ
Var(X) = σ2
,
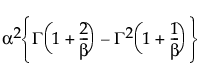
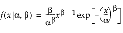
,
, 
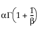
E(X) = ασ
Var(X) = ασ2
其中,Γ(·) 是 gamma 函数。
Johnson Su
,
,
, 
Johnson Sb
,
, 
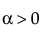
Johnson Sl
,
, 
其中,φ(·) 是标准正态概率密度函数。
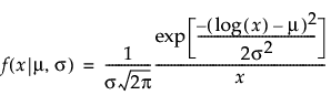
,
,
, 
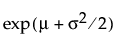
E(X) =
Var(X) =
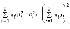
分布的“两正态混合”和“三正态混合”选项共享以下参数化:

E(X) =
Var(X) =
其中,μi、σi 和 πi 分别是第 i 个组的均值、标准差和比例,并且 φ(·) 是标准正态概率密度函数。对于“两正态混合”,k 等于 2。对于“三正态混合”分布,k 等于 3。为混合中的每个组估计单独的均值、标准差和占总体的比例。
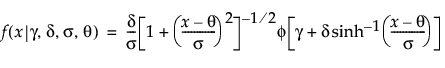
,
, 0 < δ, 0 < σ
其中
φ(·) 是标准正态 pdf

注意:当 γ = 0 且 δ = 1 时,SHASH 分布等价于位置为 θ 且尺度为 σ 的正态分布。
,
, 
E(X) =
Var(X) =
其中,Γ(·) 是 gamma 函数。